扫一扫关注微信公众号
2026-01-04 08:00
来源:本站
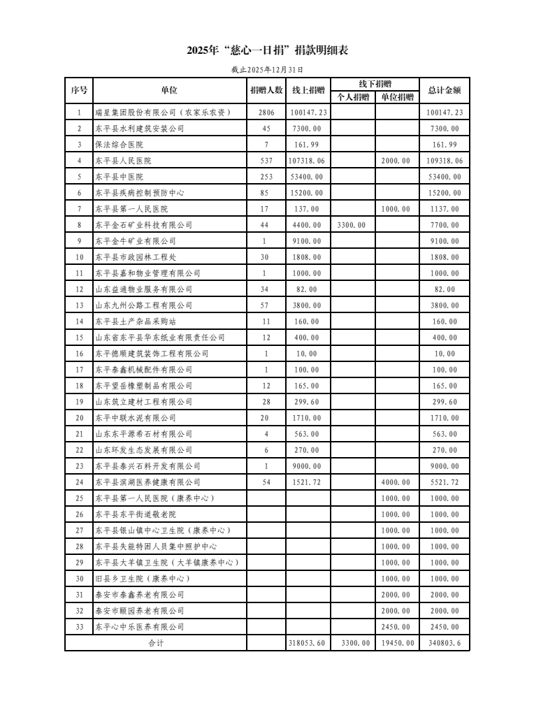
自2025年11月21日全县“慈心一日捐”活动开展以来,各机关、企事业单位、乡镇(街道)高度重视、周密部署,广大爱心企业、爱心人士、党员干部群众慷慨解囊、全力参与,在全县形成了“人人可慈善、人人皆慈善”的浓厚氛围。截止2025年12月31日,已接受善款1381070.2元,再一次彰显了东平人民无私奉献的大爱情怀。
感谢您的爱心参与,真诚欢迎您的热心监督!送人玫瑰,手留余香。愿人人都献出一份爱,同结爱心,携手慈善,共创和谐,让东原大地人人慈善、事事行善。
我们承诺:此次募捐的善款由县慈善总会按照《中华人民共和国慈善法》规定进行管理和使用,将全部用于困难群众,坚持阳光操作,遵循公开、透明的原则,及时将善款募捐情况和使用情况,通过公众号(网站)详细向社会公布,接受各界监督。
1.机关、事业单位



2.企业
